合作客戶/
拜耳公司 |
同濟大學 |
聯合大學 |
美國保潔 |
美國強生 |
瑞士羅氏 |
相關新聞Info
推薦新聞Info
-
> 電場電壓對明膠液滴荷質比、表面張力的影響及預測模型構建(三)
> 電場電壓對明膠液滴荷質比、表面張力的影響及預測模型構建(二)
> 電場電壓對明膠液滴荷質比、表面張力的影響及預測模型構建(一)
> 破解固態電池界面之困:表面張力調控SiO?氣凝膠電解質原位構筑新策略
> 聯結基對磺酸鹽型雙子表面活性劑界面行為及泡沫穩定性的作用機制(三)
> 聯結基對磺酸鹽型雙子表面活性劑界面行為及泡沫穩定性的作用機制(二)
> 聯結基對磺酸鹽型雙子表面活性劑界面行為及泡沫穩定性的作用機制(一)
> 基于座滴法研究化學組成對無堿鋁硼硅玻璃表面張力的影響(三)
> 基于座滴法研究化學組成對無堿鋁硼硅玻璃表面張力的影響(二)
> 基于座滴法研究化學組成對無堿鋁硼硅玻璃表面張力的影響(一)
為什么潑在地上的水很快就干了,而洗完的衣服卻不容易晾干?
來源:萌鐵蛋 MnFeN 瀏覽 2041 次 發布時間:2021-08-28
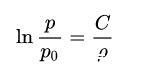
化學熱力學化學動力學方面就不說了,說一個不太一樣的。為什么潑在地上的水很快就干了,而洗完的衣服卻不容易晾干?并不是由于比表面積不同,衣服就只是一層布料,比表面積同樣很大。而是因為液滴的蒸氣壓與它表面的曲率半徑有關。這一關系由開爾文方程描述:
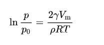
聽說公式會讓人不想看科普所以我只講這一個公式好了(x)其中,R是通用氣體常量,T是溫度,ρ是液滴表面的曲率半徑。p?是表面平整的液體原本的蒸氣壓,p是這個液滴的蒸氣壓。p?、表面張力γ、液體摩爾體積V_m對于同種溫度的同種液體可以認為近似是常量。把以上常量合并為常量C,所以在同樣溫度下,對于同種液體,可以得出如下的半定量關系:
即:
對于潑在地上的水,表面幾乎平整,曲率半徑近似無窮大,上式的冪趨近于0,指數項趨近于1,所以蒸氣壓就等于純水的蒸氣壓(p=p?)。而下圖展示的是一個表面的縱切圖,左側是桌面上的一個水滴,中間是桌面上一個凹陷裂縫中的水,右側是類似墻角、桌角等地方的積水。
對于桌面上的一個小水滴,表面凸出,曲率半徑為正值,上式的冪為正,指數項大于1,即p>p?,所以小水滴比相同比表面積的純水具有更大的蒸氣壓,揮發得更快。而對于凹陷處的水,由于液體的表面張力(類似毛細現象),它們會形成一個凹液面,曲率半徑為負,所以上式的冪為負,指數項小于1,即p < p? ,所以凹陷處等位置的具有凹液面的水比純水具有更小的蒸氣壓,揮發得更慢。回到晾衣服的問題:衣服布料的細小纖維中存在顯著的毛細現象,水會浸潤其中,并形成曲率半徑很小(負數,絕對值很小)的凹液面,顯著降低了液體蒸氣壓,所以衣服并不容易被晾干。
所以從上式分析:衣服怎么樣能更快晾干呢?對p有影響的物理量有:飽和蒸氣壓p?,表面張力γ,液體摩爾體積V_m,曲率半徑ρ,溫度T,氣體常量R。改變溫度:最簡單的烘干衣服。注意溫度同時也改變了表面張力、飽和蒸氣壓p?等很多物理量,一舉多得……雖然這個解決辦法是廢話(x)改變表面張力、摩爾體積、飽和蒸氣壓:這相當于改變液體的性質,換句話說是換了一種液體。雖然水洗是很難晾干的,但是干洗就利用了這個原理,更換了其它溶劑,蒸氣壓大幅提高,室溫下很快就揮發干了。另外一些無機合成實驗中水溶液里面結晶出來的粉末產物先用酒精洗滌再用乙醚洗滌最后再干燥也是這個原理(劃掉)改變曲率半徑ρ:曲率半徑取決于液體與衣服材質的浸潤程度,從而改變接觸角。如果選用不能很好地被水浸潤的布料,那么表面張力的作用就會被削弱,形成更平一些的凹陷表面(曲率半徑的絕對值增大),從而使衣服中水的蒸氣壓提高,速干衣物就利用了這一原理。
改變氣體常量R:把那個試圖修改宇宙規律的拖出去(x)
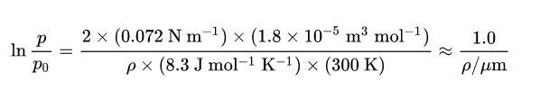
更新一下計算過程:以上公式代入了常溫下水的數據。由此可見,只要隨著蒸發過程的進行,水滴曲率半徑μ的絕對值達到微米尺度,就可以顯著減小水滴的蒸氣壓。





